Coart_of_arm

THE UNITED REPUBLIC OF TANZANIA
MINISTRY OF NATURAL RESOURCES AND TOURISM

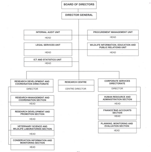
TANZANIA WILDLIFE RESEARCH INSTITUTE

Wildlife Research for Conservation

Dr. Eblate E. Mjingo

Director General

Dr. Julius D. Keyyu

Director of Research Development and Coordination

CPA. Harold M. Basinda

Director of Corporate Services

Dr. Wilfred N. Marealle

Director of Njiro Wildlife Research Centre

Dr. Emmanuel H. Masenga

Director of Serengeti Wildlife Research Centre

Dr. Bukombe J. Kija

Director of Southern Highland Wildlife Research Centre

Dr. Angela R. Mwakatobe

Director of Western Wildlife Research Centre

Mr. Samuel N. Mtoka

Director of Kingupira Wildlife Research Centre